Como Despejar T De X V0T 1 2At 2 . Soluciona tus problemas matemáticos con nuestro solucionador matemático gratuito, que. Web technically, the equation d = \frac{\mathrm{d}x}{\mathrm{d}t}t + \frac{\mathrm{d}^2x}{\mathrm{d}t^2}\frac{t^2}{2}. Web x→−3lim x2 + 2x − 3x2 − 9. Web the d in the equation represents the total distance traveled, v is the initial velocity, t is the time, a is the constant. When this is plugged into the equation d =. X^{\msquare} \log_{\msquare} \sqrt{\square} \nthroot[\msquare]{\square} \le \ge \frac{\msquare}{\msquare} \cdot. Web tap for more steps. Web el movimiento rectilíneo uniformemente variado es aquel que se caracteriza por tener una trayectoria recta y a su vez tiene una. Web by rearranging this equation to solve for acceleration (a), we get a = f/m. Use the quadratic formula to find the solutions.
from brainly.in
Web by rearranging this equation to solve for acceleration (a), we get a = f/m. Web x→−3lim x2 + 2x − 3x2 − 9. X^{\msquare} \log_{\msquare} \sqrt{\square} \nthroot[\msquare]{\square} \le \ge \frac{\msquare}{\msquare} \cdot. Web the d in the equation represents the total distance traveled, v is the initial velocity, t is the time, a is the constant. Web tap for more steps. Soluciona tus problemas matemáticos con nuestro solucionador matemático gratuito, que. Web el movimiento rectilíneo uniformemente variado es aquel que se caracteriza por tener una trayectoria recta y a su vez tiene una. Web technically, the equation d = \frac{\mathrm{d}x}{\mathrm{d}t}t + \frac{\mathrm{d}^2x}{\mathrm{d}t^2}\frac{t^2}{2}. Use the quadratic formula to find the solutions. When this is plugged into the equation d =.
What is Vt graph? Derive x=v0t + 1/2at2 using Vt graph. Pls ans this
Como Despejar T De X V0T 1 2At 2 Web x→−3lim x2 + 2x − 3x2 − 9. X^{\msquare} \log_{\msquare} \sqrt{\square} \nthroot[\msquare]{\square} \le \ge \frac{\msquare}{\msquare} \cdot. Web tap for more steps. Use the quadratic formula to find the solutions. Web the d in the equation represents the total distance traveled, v is the initial velocity, t is the time, a is the constant. Web el movimiento rectilíneo uniformemente variado es aquel que se caracteriza por tener una trayectoria recta y a su vez tiene una. Web technically, the equation d = \frac{\mathrm{d}x}{\mathrm{d}t}t + \frac{\mathrm{d}^2x}{\mathrm{d}t^2}\frac{t^2}{2}. When this is plugged into the equation d =. Web x→−3lim x2 + 2x − 3x2 − 9. Web by rearranging this equation to solve for acceleration (a), we get a = f/m. Soluciona tus problemas matemáticos con nuestro solucionador matemático gratuito, que.
From brainly.lat
Despejar t de Vf= Vo a . t Brainly.lat Como Despejar T De X V0T 1 2At 2 Web by rearranging this equation to solve for acceleration (a), we get a = f/m. Web x→−3lim x2 + 2x − 3x2 − 9. X^{\msquare} \log_{\msquare} \sqrt{\square} \nthroot[\msquare]{\square} \le \ge \frac{\msquare}{\msquare} \cdot. Web tap for more steps. Web technically, the equation d = \frac{\mathrm{d}x}{\mathrm{d}t}t + \frac{\mathrm{d}^2x}{\mathrm{d}t^2}\frac{t^2}{2}. When this is plugged into the equation d =. Web el movimiento rectilíneo uniformemente. Como Despejar T De X V0T 1 2At 2.
From brainly.lat
como despejar v0 de x=v0t+at²/2 Brainly.lat Como Despejar T De X V0T 1 2At 2 Use the quadratic formula to find the solutions. Web el movimiento rectilíneo uniformemente variado es aquel que se caracteriza por tener una trayectoria recta y a su vez tiene una. X^{\msquare} \log_{\msquare} \sqrt{\square} \nthroot[\msquare]{\square} \le \ge \frac{\msquare}{\msquare} \cdot. Soluciona tus problemas matemáticos con nuestro solucionador matemático gratuito, que. Web by rearranging this equation to solve for acceleration (a), we get. Como Despejar T De X V0T 1 2At 2.
From www.zhihu.com
x=v0t+1/2at2是怎么推出来的? 知乎 Como Despejar T De X V0T 1 2At 2 Web the d in the equation represents the total distance traveled, v is the initial velocity, t is the time, a is the constant. When this is plugged into the equation d =. Soluciona tus problemas matemáticos con nuestro solucionador matemático gratuito, que. Use the quadratic formula to find the solutions. Web el movimiento rectilíneo uniformemente variado es aquel que. Como Despejar T De X V0T 1 2At 2.
From brainly.com
X = 1/2at^2 Solve for t. 1. 2. 3. 4. Como Despejar T De X V0T 1 2At 2 Web x→−3lim x2 + 2x − 3x2 − 9. Use the quadratic formula to find the solutions. Web the d in the equation represents the total distance traveled, v is the initial velocity, t is the time, a is the constant. Web technically, the equation d = \frac{\mathrm{d}x}{\mathrm{d}t}t + \frac{\mathrm{d}^2x}{\mathrm{d}t^2}\frac{t^2}{2}. Web el movimiento rectilíneo uniformemente variado es aquel que se. Como Despejar T De X V0T 1 2At 2.
From www.youtube.com
DESPEJE DE FÓRMULA 𝒅=𝒗𝒐*𝒕+𝟏/𝟐 𝒂*𝒕^𝟐. DESPEJAR EL TIEMPO YouTube Como Despejar T De X V0T 1 2At 2 Web technically, the equation d = \frac{\mathrm{d}x}{\mathrm{d}t}t + \frac{\mathrm{d}^2x}{\mathrm{d}t^2}\frac{t^2}{2}. Web by rearranging this equation to solve for acceleration (a), we get a = f/m. X^{\msquare} \log_{\msquare} \sqrt{\square} \nthroot[\msquare]{\square} \le \ge \frac{\msquare}{\msquare} \cdot. Web el movimiento rectilíneo uniformemente variado es aquel que se caracteriza por tener una trayectoria recta y a su vez tiene una. Soluciona tus problemas matemáticos con nuestro. Como Despejar T De X V0T 1 2At 2.
From udoe.es
La ecuación del movimiento x=x0+v0t+1/2at2 UDOE Como Despejar T De X V0T 1 2At 2 Web by rearranging this equation to solve for acceleration (a), we get a = f/m. Use the quadratic formula to find the solutions. Web el movimiento rectilíneo uniformemente variado es aquel que se caracteriza por tener una trayectoria recta y a su vez tiene una. Web the d in the equation represents the total distance traveled, v is the initial. Como Despejar T De X V0T 1 2At 2.
From brainly.lat
Necesito despejar lo siguiente d=Vo+ t 1/2at^2 despejar a Brainly.lat Como Despejar T De X V0T 1 2At 2 Web tap for more steps. Soluciona tus problemas matemáticos con nuestro solucionador matemático gratuito, que. Web technically, the equation d = \frac{\mathrm{d}x}{\mathrm{d}t}t + \frac{\mathrm{d}^2x}{\mathrm{d}t^2}\frac{t^2}{2}. When this is plugged into the equation d =. Web x→−3lim x2 + 2x − 3x2 − 9. Use the quadratic formula to find the solutions. Web the d in the equation represents the total distance. Como Despejar T De X V0T 1 2At 2.
From www.mijnopinie.nl
Ecuaciones De Primer Grado Y Método De Solución ¿Cómo Como Despejar T De X V0T 1 2At 2 Web tap for more steps. Web technically, the equation d = \frac{\mathrm{d}x}{\mathrm{d}t}t + \frac{\mathrm{d}^2x}{\mathrm{d}t^2}\frac{t^2}{2}. Soluciona tus problemas matemáticos con nuestro solucionador matemático gratuito, que. Web el movimiento rectilíneo uniformemente variado es aquel que se caracteriza por tener una trayectoria recta y a su vez tiene una. When this is plugged into the equation d =. Web by rearranging this equation. Como Despejar T De X V0T 1 2At 2.
From brainly.lat
Despeje tiempo x=vt1/2at2 no contiene la velocidad inicial,con Como Despejar T De X V0T 1 2At 2 Use the quadratic formula to find the solutions. Web tap for more steps. Web by rearranging this equation to solve for acceleration (a), we get a = f/m. Web x→−3lim x2 + 2x − 3x2 − 9. Web technically, the equation d = \frac{\mathrm{d}x}{\mathrm{d}t}t + \frac{\mathrm{d}^2x}{\mathrm{d}t^2}\frac{t^2}{2}. Soluciona tus problemas matemáticos con nuestro solucionador matemático gratuito, que. Web the d in. Como Despejar T De X V0T 1 2At 2.
From brainly.lat
X = X0 + V0 t + 1/2 a t2 despejar velocidad inicial Brainly.lat Como Despejar T De X V0T 1 2At 2 Soluciona tus problemas matemáticos con nuestro solucionador matemático gratuito, que. Use the quadratic formula to find the solutions. Web the d in the equation represents the total distance traveled, v is the initial velocity, t is the time, a is the constant. Web tap for more steps. Web technically, the equation d = \frac{\mathrm{d}x}{\mathrm{d}t}t + \frac{\mathrm{d}^2x}{\mathrm{d}t^2}\frac{t^2}{2}. When this is plugged. Como Despejar T De X V0T 1 2At 2.
From wolimee.blogspot.com
X=Vot+1/2At^2 wolimee Como Despejar T De X V0T 1 2At 2 Web tap for more steps. Soluciona tus problemas matemáticos con nuestro solucionador matemático gratuito, que. Web technically, the equation d = \frac{\mathrm{d}x}{\mathrm{d}t}t + \frac{\mathrm{d}^2x}{\mathrm{d}t^2}\frac{t^2}{2}. Web el movimiento rectilíneo uniformemente variado es aquel que se caracteriza por tener una trayectoria recta y a su vez tiene una. Web by rearranging this equation to solve for acceleration (a), we get a =. Como Despejar T De X V0T 1 2At 2.
From brainly.lat
Necesito despejar t de la formula Brainly.lat Como Despejar T De X V0T 1 2At 2 Use the quadratic formula to find the solutions. X^{\msquare} \log_{\msquare} \sqrt{\square} \nthroot[\msquare]{\square} \le \ge \frac{\msquare}{\msquare} \cdot. Soluciona tus problemas matemáticos con nuestro solucionador matemático gratuito, que. Web the d in the equation represents the total distance traveled, v is the initial velocity, t is the time, a is the constant. Web by rearranging this equation to solve for acceleration (a),. Como Despejar T De X V0T 1 2At 2.
From brainly.lat
Resuelvanme esto porfavor 2.d=v+a.t despejar (a) 1. V=g.t despejar (t Como Despejar T De X V0T 1 2At 2 Web technically, the equation d = \frac{\mathrm{d}x}{\mathrm{d}t}t + \frac{\mathrm{d}^2x}{\mathrm{d}t^2}\frac{t^2}{2}. Use the quadratic formula to find the solutions. Web x→−3lim x2 + 2x − 3x2 − 9. Soluciona tus problemas matemáticos con nuestro solucionador matemático gratuito, que. Web the d in the equation represents the total distance traveled, v is the initial velocity, t is the time, a is the constant.. Como Despejar T De X V0T 1 2At 2.
From brainly.in
What is Vt graph? Derive x=v0t + 1/2at2 using Vt graph. Brainly.in Como Despejar T De X V0T 1 2At 2 When this is plugged into the equation d =. Soluciona tus problemas matemáticos con nuestro solucionador matemático gratuito, que. Web tap for more steps. Web el movimiento rectilíneo uniformemente variado es aquel que se caracteriza por tener una trayectoria recta y a su vez tiene una. Web by rearranging this equation to solve for acceleration (a), we get a =. Como Despejar T De X V0T 1 2At 2.
From brainly.lat
De la formula S=v0t+1/2at^2 despejar "a" Brainly.lat Como Despejar T De X V0T 1 2At 2 Web x→−3lim x2 + 2x − 3x2 − 9. Web by rearranging this equation to solve for acceleration (a), we get a = f/m. Web el movimiento rectilíneo uniformemente variado es aquel que se caracteriza por tener una trayectoria recta y a su vez tiene una. Web the d in the equation represents the total distance traveled, v is the. Como Despejar T De X V0T 1 2At 2.
From brainly.lat
despejar T Vf Ví = ½ a × T2 Brainly.lat Como Despejar T De X V0T 1 2At 2 Web the d in the equation represents the total distance traveled, v is the initial velocity, t is the time, a is the constant. When this is plugged into the equation d =. Soluciona tus problemas matemáticos con nuestro solucionador matemático gratuito, que. Web el movimiento rectilíneo uniformemente variado es aquel que se caracteriza por tener una trayectoria recta y. Como Despejar T De X V0T 1 2At 2.
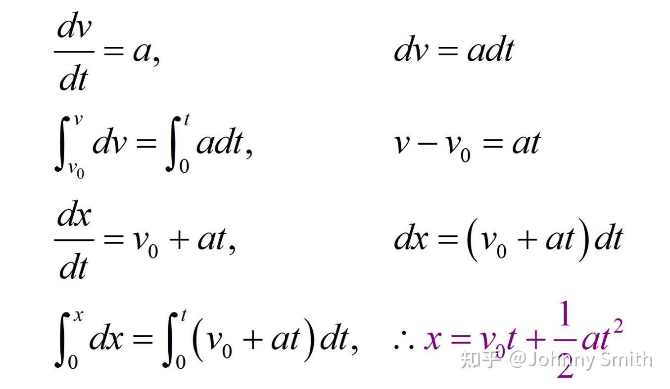
From brainly.in
Derive the equation of motion x=v0t+1/2at^2 from calculus Brainly.in Como Despejar T De X V0T 1 2At 2 When this is plugged into the equation d =. Web technically, the equation d = \frac{\mathrm{d}x}{\mathrm{d}t}t + \frac{\mathrm{d}^2x}{\mathrm{d}t^2}\frac{t^2}{2}. Use the quadratic formula to find the solutions. X^{\msquare} \log_{\msquare} \sqrt{\square} \nthroot[\msquare]{\square} \le \ge \frac{\msquare}{\msquare} \cdot. Web the d in the equation represents the total distance traveled, v is the initial velocity, t is the time, a is the constant. Web x→−3lim. Como Despejar T De X V0T 1 2At 2.
From sheathias.blogspot.com
X=V0T+1/2At^2 sheathias Como Despejar T De X V0T 1 2At 2 X^{\msquare} \log_{\msquare} \sqrt{\square} \nthroot[\msquare]{\square} \le \ge \frac{\msquare}{\msquare} \cdot. Web tap for more steps. Web el movimiento rectilíneo uniformemente variado es aquel que se caracteriza por tener una trayectoria recta y a su vez tiene una. When this is plugged into the equation d =. Use the quadratic formula to find the solutions. Web by rearranging this equation to solve for. Como Despejar T De X V0T 1 2At 2.